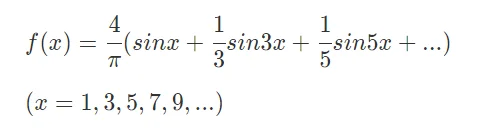
A Python script and accompanying project file that visualizes Fourier Series. The tool utilizes Blender's Grease Pencil feature to generate and display the mathematical visual patterns directly in the viewport.
A Python script and accompanying project file that visualizes Fourier Series. The tool utilizes Blender's Grease Pencil feature to generate and display the mathematical visual patterns directly in the viewport.